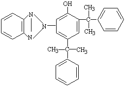
化學名稱:2-(2H-苯并三唑-2-羥基)-4,6-二(1-甲基-1-苯基乙基)苯酚
CAS No.: [70321-86-7]
質量標準:
外觀:類白色粉末
熔點:≥135°C
揮發物:≤0.5%
灰份:≤0.1%
含量:≥99%
透光率:460nm ≥97% ;500nm ≥98%